中性粒细胞是人体免疫系统中的重要成员,属于白细胞髓系中的多叶核细胞,主要参与先天免疫防御。来源于骨髓造血干细胞,根据细胞质内颗粒的染色特性可分为中性粒细胞、嗜酸性粒细胞和嗜碱性粒细胞三类。
其中,中性粒细胞占比最高(在白细胞中占比约50-70%),是抵御细菌感染的第一道防线,通过吞噬作用和释放抗菌物质清除病原体;嗜酸性粒细胞参与对抗寄生虫感染和过敏反应;嗜碱性粒细胞则与炎症反应和过敏性疾病相关。在自免、肿瘤疾病等新药开发中,有大量关于中性粒细胞相关的大分子、小分子、细胞治疗类药物研究。
永乐·国际f66中性粒细胞药效评价服务及中性粒细胞实验类型
中性粒细胞药效评价服务
在离体状态下,由于中性粒细胞极不稳定,在血液中的平均寿命约为12-24h,永乐·国际f66可提供合规稳定的样本来源解决此方面研究的痛点,并结合自身优势,专业化的科研团队,提供基于中性粒细胞相关功能的检测服务,助力相关疾病研究、新药开发以及细胞治疗进程。
中性粒细胞的实验类型:
?中性粒细胞binding检测
?中性粒细胞内吞功能检测
?中性粒细胞活性氧产生检测
?中性粒细胞激活检测
?中性粒细胞单/多因子释放检测(Elisa、CBA平台)
?中性粒细胞杀伤检测
?中性粒细胞趋化迁移检测
?更多关于中性粒细胞实验平台开发中……
中性粒细胞相关实验数据展示
1、中性粒细胞binding实验
.png)
流式检测结果显示,6个待测样品均与中性粒细胞有不同程度的结合,阳性对照组中Sam2与PC cell line有明显的结合。
2、待测样品抑制中性粒细胞活性氧释放检测实验
.png)
用DCFH-DA荧光探针标记细胞,通过检测细胞荧光强度的变化,分析出药物对中性粒细胞活性氧产生的影响。
3、待测样品对中性粒细胞趋化迁移的影响
.png)
高浓度的诱导剂对细胞有毒性作用,导致随诱导剂浓度升高,细胞数量逐步减少;低浓度的诱导剂可以剂量依赖的刺激中性粒细胞向下室迁移;

在选用合适浓度的趋化因子刺激下,Transwell下室中中性粒细胞数量显著增加;试用两种不用药物处理后,显著地抑制诱导剂对中性粒细胞向下室迁移作用,且Sam2呈现剂量依赖的抑制效果。
4、待测样品抑制中性粒细胞活性氧释放检测实验

将中性粒细胞、293-BDCA2与不同浓度的待测分子共孵育后,用LDH检测方法ADCC效应,实验结果显示:待测分子(Hu005-08)可介导编号为W0888的donor的中性粒细胞产生剂量依赖的ADCC效应。
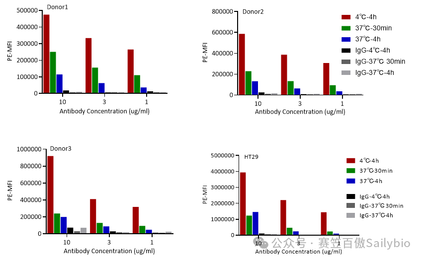
5、中性粒细胞对待测分子的内吞检测实验
待测分子1


待测分子2

将中性粒细胞或HT29细胞(阳性对照细胞)分别与待测分子或阴性对照分子共孵育后,使用流式细胞仪检测结合在中性粒细胞或者HT29表面的剩余待测分子荧光强度:对比阴性对照分子,待测分子1和待测分子2在37℃孵育条件下,均可被HT29或不同donor的中性粒细胞内吞,且随孵育时间增加(0.5h-4h),内吞效果明显增加。
.png)
.jpg)