×ÔÉíÃâÒß¼²²¡£¨autoimmune disease AID£©ÊÇÒò»úÌåÃâÒßϵͳʧºâ¶Ô×ÔÉí³É·Ö·¢ÉúÃâÒßÓ¦´ð¶øµ¼Öµļ²²¡£¬·ÖΪ·çʪ¡¢Æ¤·ôºÍ賦Èý´óÀࡣĿǰÒÑÖªÔ¼ÓÐ100ÖÖ²»Í¬ÀàÐ͵Ä×ÔÉíÃâÒßÐÔ¼²²¡£¬Ó°ÏìÈ«ÇòÔ¼7.6%¡«9.4%µÄÈËȺ¡£´Ó·¢²¡ÂÊÀ´¿´£¬IgAÉö²¡¡¢ÏµÍ³ÐÔºì°ßÀÇ´¯µÈ×ÔÃâ¼²²¡ÔÚÎÒ¹ú·¢²¡Âʽϸߡ£²¿·Ö×ÔÃâ¼²²¡ÔÚ¹úÍâ·¢²¡Âʸü¸ß£¬±ÈÈçÑ×Ö¢ÐÔ³¦²¡£¨IBD£¬°üÀ¨¿ËÂÞ¶÷²¡¡¢À£ÑñÐԽ᳦Ñ׵ȣ©£¬µ«Ëæ×ŽüÄêÀ´¹úÄÚ¾ÓÃñÉú»îˮƽÏÔÖøÌá¸ßµþ¼ÓÕï¶ÏÂʵÄÉÏÉý£¬IBD»¼ÕßÈËÊýÒ²ÔÚ²»¶ÏÔö¼Ó£¬´æÔڽϴóδÂú×ãµÄÁÙ´²ÐèÇó¡£
×ÔÃâ¼²²¡µÄÖÎÁÆ·½°¸
ÔÚ×ÔÉíÃâÒßÐÔ¼²²¡ÖУ¬×ÔÉí·´Ó¦ÐÔTϸ°ûºÍBϸ°ûµÄ»î»¯¿ÉÒýÆð×éÖ¯Ñ×ÐÔ½þÈóºÍ×ÔÉí¿¹ÌåµÄ²úÉú¡£Tϸ°û¼¤»îºó£¬¶àÖÖ¸¨ÖúÐÔTϸ°ûÑÇȺÈçTh1¡¢Th2ºÍTh17ͨ¹ý·ÖÃÚϸ°ûÒò×ӽ鵼Ñ×Ö¢£»¶ø¸¨ÖúÐÔÂËÅÝTϸ°ûTfh¿É¸¨ÖúBϸ°ûÐγÉÉú·¢ÖÐÐÄ£¬Í¨¹ý²úÉú×ÔÉí¿¹Ìå½éµ¼¼²²¡¡£×ÔÉí·´Ó¦ÐÔBϸ°ûÒ²¿É×÷Ϊ¿¹Ô³ÊµÝϸ°ûÏò×ÔÉí·´Ó¦ÐÔTϸ°û³ÊµÝ×ÔÉí¿¹Ô¶ø»î»¯Tϸ°û¡£

SLE»¼ÕßTϸ°û´úл

SLE»¼ÕßBϸ°û´úл
×ÔÃâ¼²²¡µÄ´«Í³ÁÆ·¨ÎªÐ¡·Ö×ÓÖÆ¼Á£¬ÁÆÐ§ÓÐÏÞÇÒ¸±×÷ÓÃÃ÷ÏÔ£¬Ä¿Ç°ÖÎÁÆ·½°¸ÒÑÖð²½´ÓС·Ö×ÓÖÆ¼ÁÏòÐÂÒ»´ú°ÐÏòÒ©¡¢ÉúÎïÒ©µü´ú¡£´«Í³µÄÖÎÁÆ·½Ê½°üÀ¨Ê¹ÓÃÃâÒßÒÖÖÆ¼Á£¬±ÈÈç·ÇçÞÌ忹Ñ×Ò©£¨NSAIDs£©¡¢çÞÌ忹Ñ×Ò©£¨SAIDs£©ºÍ¸ÄÉÆ²¡Ç鿹·çʪҩ£¨DMARDs£©ÈýÀ࣬ÕâЩҩÎﳤÆÚʹÓôæÔڽϴóµÄÐÄѪ¹Ü¡¢Ïû»¯µÀ·½Ã渱×÷Ó᣽üÄêÀ´£¬°ÐÏòÑ×֢ϸ°ûÒò×Ó£¨TNF-α¡¢IL-1¡¢IL-6¡¢IL-17¡¢IL-12¡¢IL-23µÈ£©¡¢ÊÜÌ壨CD20¡¢CD80/86µÈ£©ºÍÐźŷÖ×Ó£¨MAPKs¡¢PI3K¡¢NF-κB¡¢JAK/STATµÈ£©µÄ´ó·Ö×Ó¡¢Ð¡·Ö×Ó°ÐÏòÒ©ÎPϸ°ûÖÎÁÆÀàÒ©Î﷢չѸÃÍ£¬ÉÏÊÐÒ©ÎïÊýÁ¿³Ê¾®ÅçÌ¬ÊÆ¡£
ÓÀÀÖ¡¤¹ú¼Êf66ºÏ¹æ×ÔÃâ¼²²¡Ñù±¾²É¼¯¼°Ò©Ð§ÆÀ¼Û·þÎñÖúÁ¦ÐÂÒ©Ñз¢
×ÔÃâ¼²²¡Ñù±¾²É¼¯¼°·ÖÀë·þÎñ
ÓÀÀÖ¡¤¹ú¼Êf66ÓµÓоÑé·á¸»µÄÁÙ´²ÍŶӣ¬ÔÚÂ×ÀíίԱ»áÊÚȨ¼°ÊÜÊÔÕß³ä·ÖÖªÇéµÄǰÌáÏ£¬ÎªÐÂÒ©Ñз¢¹ý³ÌÌṩ×ÔÃâ¼²²¡Ïà¹ØµÄȫѪ¡¢µ¥²ÉѪ¡¢PBMCµÈºÏ¹æÑù±¾µÄÕÐļ¡¢É¸Ñ¡¡¢²É¼¯ºÍ·ÖÀë·þÎñ£¬¼Ó¿ì×ÔÃâÒ©ÎïÑз¢½ø³Ì¡£
¿ÉÌṩ×ÔÃâÑù±¾µÄ¼²²¡ÀàÐÍ
RA£ºÀà·çʪÐԹؽÚÑ×
SLE£ºÏµÍ³ÐÔºì°ßÀÇ´¯
MS£º¶à·¢ÐÔÓ²»¯Ö¢
IBD£ºÑ×Ö¢ÐÔ³¦²¡
IIM£ºÌØ·¢ÐÔÑ×ÐÔ¼¡²¡
IgG4-RD£ºIgG4Ïà¹ØÐÔ¼²²¡
SS£º¸´·¢ÄÑÖθÉÔï×ÛºÏÕ÷
ITP£ºÃâÒßÐÔѪС°å¼õÉÙ
Urticaria£ºÝ¡ÂéÕî
Psoriasis£ºÒøÐ¼²¡
ÒÔÉϼ²²¡Ñù±¾ÒѽøÐйý»òÕýÔÚ½øÐвɼ¯ºÍPBMCµÄ·ÖÀ룬ÈôÓÐÆäËüÀàÐ͵Ä×ÔÃâ¼²²¡Ñù±¾ÐèÇ󣬿ÉÁªÏµÎÒ˾½øÐÐÕÐļ²É¼¯ºÍ·ÖÀëÑù±¾¡£
È·ÕﲡÀý×ÊÁÏ
¿ÉÌṩ¶þ¼¶¼°ÒÔÉÏҽԺĿǰ»òÕß¼ÈÍùÈ·ÕïΪ×ÔÃâ¼²²¡µÄ²¡Àú×ÊÁÏ¡£
¿É²É¼¯¡¢·ÖÀë½»¸¶µÄ·þÎñÑù±¾Á¿
×ÔÃâ¼²²¡»¼Õߵİ×ϸ°û²É¼¯·þÎñ£¨µ¥²ÉѪ²É¼¯·þÎñ£©£º¿ÉÌṩ×Üϸ°ûÁ¿¿É´ï4*10^9Õû·Ýµ¥²ÉѪ²É¼¯·þÎñ¡£
×ÔÃâ¼²²¡»¼ÕßµÄȫѪ²É¼¯·þÎñ£ºµ¥¸ödonor¿ÉÒÔÌṩ50mlȫѪ²É¼¯·þÎñ¡£
×ÔÃâ¼²²¡»¼ÕßµÄPBMC·ÖÀë·þÎñ£º¿ÉÌṩÐÂÏÊ/¶³´æÁ½ÖÖ״̬¡¢È«Ñª·ÖÀë10million/Ö§¡¢µ¥²ÉѪ·ÖÀë10million/Ö§¡¢25million/Ö§¡¢50million/Ö§¡¢100million/Ö§µÄPBMC·ÖÀë¼°¶³´æµÄ·þÎñÑù±¾¡£

»ùÓÚ×ÔÃâ¼²²¡Ñù±¾µÄÁÙ´²Ç°³ÉÒ©ÐÔÆÀ¼Û·þÎñ
ÓÀÀÖ¡¤¹ú¼Êf66ÒÔ×ÔÉí³ÉÊìµÄÁÙ´²Ç°ÌåÍâҩЧÆÀ¼Û¼¼Êõƽ̨¼°ºÏ¹æµÄÑù±¾²É¼¯·þÎñ£¬¿ª·¢ÁË»ùÓÚ×ÔÃâ¼²²¡Ñù±¾µÄÁÙ´²Ç°³ÉÒ©ÐÔÆÀ¼Û·þÎñƽ̨£¬¿ÉΪÎÞ·¨»ñÈ¡×ÔÃâ¼²²¡Ñù±¾µÄÍâ·½µ¥Î»¿Í»§Ìṩ»ùÓÚ×ÔÃâ¼²²¡Ñù±¾µÄҩЧѧÆÀ¼Û·þÎñ£¬¼Ó¿ì×ÔÃâÀ༲²¡µÄÐÂÒ©Ñз¢½ø³Ì¡£
×ÔÃâ¼²²¡Ñù±¾µÄ¼ì²âƽ̨
Òò×ÓÊͷżì²â£¨Elisa¡¢CBAƽ̨£©
ϸ°ûɱÉ˼ì²â
Binding¼ì²â
ϸ°û¼¤»î¼ì²â
ϸ°ûÔöÖ³¼ì²â
ϸ°û±êÖ¾Îï±í´ï¼ì²â
ȫѪ/ѪÇå/Ѫ½¬ÖеÄÎȶ¨ÐÔ¼ì²â
²âÊÔÆ½Ì¨Êý¾Ýչʾ
SLE»¼ÕßµÄPBMCÖУ¬ÑùÆ·1£¨TCE·Ö×Ó£©½éµ¼Tϸ°û¶Ô×ÔÉíBϸ°ûµÄɱÉ˼ì²â

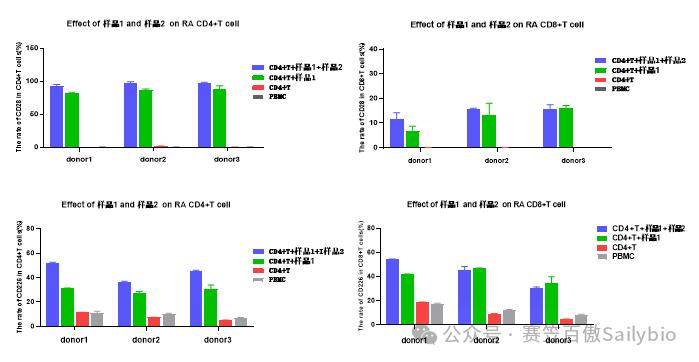
»ùÓÚRAÑù±¾£¬ ÑùÆ·1 & ÑùÆ·2 ¶Ô²»Í¬donorµÄCD4+T&CD8+Tϸ°ûµÄ¼¤»î×÷Óã¨CD28&CD226±í´ïÁ÷ʽ¼ì²â£©

¸ü¶à²âÊÔÊý¾Ý¾´ÇëÆÚ´ý……
.png)
.jpg)